Каракули гения: граффити XIX века раскрыли великую математическую тайну
Это граффити, которому 180 лет, на самом деле было уравнением, которое изменило историю математики.
16 октября 1843 года ирландский математик Уильям Роуэн Гамильтон совершил открытие во время прогулки вдоль Королевского канала в Дублине. Он был так взволнован, что достал перочинный нож и прямо на мосту Брум вырезал своё открытие.
Это самое известное граффити в истории математики, но выглядит оно довольно скромно:
i ² = j ² = k ² = ijk = –1
Тем не менее открытие Гамильтона изменило подход математиков к представлению информации. А это, в свою очередь, упростило множество технических задач — от расчёта сил при проектировании моста, аппарата МРТ или ветряной турбины до программирования поисковых систем и ориентации марсохода на Марсе. Так что же означает это знаменитое граффити?
Вращающиеся объекты
Математическая задача, которую пытался решить Гамильтон, заключалась в том, чтобы представить взаимосвязь между различными направлениями в трёхмерном пространстве. Направление важно для описания сил и скоростей, но Гамильтона также интересовали трёхмерные вращения.
Математики уже знали, как представить положение объекта с помощью таких координат, как x, y и z, но для того, чтобы понять, что происходит с этими координатами при вращении объекта, требовались сложные знания сферической геометрии. Гамильтон хотел найти более простой метод.
Он был вдохновлен замечательным способом представления двумерных вращений. Хитрость заключалась в использовании так называемых «комплексных чисел», которые имеют «действительную» часть и «мнимую» часть. Мнимая часть кратна числу i, «квадратному корню из минус единицы», которое определяется уравнением i 2 = -1.
К началу 1800-х годов несколько математиков, в том числе Жан Арган и Джон Уоррен, обнаружили, что комплексное число можно представить в виде точки на плоскости. Уоррен также показал, что математически довольно просто повернуть прямую на 90° в этой новой комплексной плоскости, как будто вы поворачиваете стрелку часов назад с 12:15 до 12:00. Именно это происходит, когда вы умножаете число на i.

Гамильтон был крайне впечатлён этой связью между комплексными числами и геометрией и решил попробовать применить её в трёх измерениях. Он представил себе трёхмерную комплексную плоскость со второй мнимой осью, направленной в сторону второго мнимого числа j, перпендикулярного двум другим осям.
Ему потребовалось много трудных месяцев, чтобы понять, что для расширения двумерного вращательного волшебства умножения на i ему нужны четырёхмерные комплексные числа с третьим мнимым числом k.
В этом четырёхмерном математическом пространстве k-ось будет перпендикулярна остальным трём. Ось k определяется не только уравнением k ² = –1, но и условием k = ij = –ji. (Объединив эти два уравнения для k, получим ijk = –1.)
Если сложить всё это вместе, получится i² = j² = k² = ijk = –1 — открытие, которое поразило Гамильтона, как молния на мосту Брум.
Кватернионы и векторы
Гамильтон назвал свои четырёхмерные числа «кватернионами» и использовал их для вычисления геометрических вращений в трёхмерном пространстве. Сегодня такие вращения используются, например, для перемещения роботов или ориентации спутников.
Но большая часть практической магии проявляется, когда вы рассматриваете только мнимую часть кватерниона. Именно это Гамильтон назвал «вектором».
Вектор кодирует сразу два вида информации: величину и направление пространственной величины, такой как сила, скорость или относительное положение. Например, чтобы представить положение объекта (x, y, z) относительно «начала координат» (нулевой точки осей координат), Гамильтон визуализировал стрелку, указывающую от начала координат к местоположению объекта. Стрелка обозначает «вектор положения» x i + y j + z k.
«Компонентами» этого вектора являются числа x, y и z — расстояние, на которое стрелка отклоняется вдоль каждой из трёх осей. (У других векторов будут другие компоненты, в зависимости от их величины и единиц измерения.)

Полвека спустя эксцентричный английский телеграфист Оливер Хевисайд положил начало современному векторному анализу, заменив мнимые базисные векторы Гамильтона i, j, k на действительные единичные векторы i, j, k. Но в любом случае компоненты вектора остаются прежними, а значит, остаются прежними и стрелка, и основные правила умножения векторов.
Гамильтон определил два способа умножения векторов. Один из них даёт число (сегодня это называется скалярным или скачкообразным произведением), а другой — вектор (известный как векторное или векторное произведение). Сегодня эти способы умножения используются во множестве приложений, например в формуле электромагнитной силы, которая лежит в основе всех наших электронных устройств.
Единый математический объект
Гамильтон не знал, что французский математик Олин Родригес вывел эти произведения всего тремя годами ранее в своей работе о вращениях. Но называть произведения Родригеса векторными — значит оглядываться назад. Именно Гамильтон объединил отдельные компоненты в единое целое — вектор.
У всех остальных, от Исаака Ньютона до Родригеса, не было представления об едином математическом объекте, объединяющем компоненты положения или силы. (На самом деле была одна идея, которая пришла в голову одному человеку: немецкому математику-самоучке Герману Грассману, который независимо от Гамильтона в то же время изобрёл менее прозрачную векторную систему.)
Гамильтон также разработал компактную систему обозначений, которая позволила сделать его уравнения лаконичными и элегантными. Для обозначения кватерниона или вектора он использовал греческую букву, но сегодня, вслед за Хевисайдом, принято использовать латинскую букву, выделенную жирным шрифтом.
Эта компактная запись изменила подход математиков к представлению физических величин в трёхмерном пространстве.
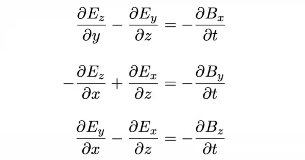
Возьмём, к примеру, одно из уравнений Максвелла, связывающее электрические и магнитные поля:
∇ × E = –∂B/∂t
С помощью всего нескольких символов (мы не будем вдаваться в физический смысл ∂/∂t и ∇ ×) показано, как вектор электрического поля (E) распространяется в пространстве в ответ на изменения вектора магнитного поля (B).
Без векторных обозначений это было бы записано в виде трёх отдельных уравнений (по одному для каждого компонента B и E), каждое из которых представляет собой набор координат, умножений и вычитаний.

Сила упорства
Я выбрал в качестве примера одно из уравнений Максвелла, потому что эксцентричный шотландец Джеймс Клерк Максвелл был первым крупным физиком, осознавшим силу компактной векторной символики. К сожалению, Гамильтон не дожил до того момента, когда Максвелл поддержал его. Но он никогда не отказывался от своей веры в новый способ представления физических величин.
Меня очень тронула настойчивость Гамильтона перед лицом всеобщего неприятия, когда я работал над своей книгой о векторах. Он надеялся, что однажды — «неважно, когда именно» — его поблагодарят за это открытие, но это было не тщеславие. Это был восторг от возможных применений, которые он себе представлял.

Он был бы на седьмом небе от счастья, узнав, что векторы сегодня так широко используются и что они могут представлять как цифровую, так и физическую информацию. Но особенно его порадовало бы то, что при программировании вращения лучшим выбором по-прежнему часто являются кватернионы — как известно НАСА и программистам компьютерной графики.
В знак признания заслуг Гамильтона любители математики проходят по его знаменитому маршруту каждый год 16 октября, чтобы отпраздновать День Гамильтона. Но мы все каждый день пользуемся технологическими достижениями, основанными на этом непритязательном граффити.
ЧИТАЙТЕ ТАКЖЕ: РАЗГАДКА ВЕКА: УЧЁНЫЕ НАШЛИ ПОРЯДОК В ЗНАМЕНИТОМ ХАОСЕ ТРЁХ ТЕЛ









